Cryoablation Comparable to Surgery for Treating Early-stage Kidney Cancer
Outpatient procedure provides high disease-specific survival over 10 years

A minimally invasive procedure that destroys cancer cells by freezing them is as effective as surgery for treating early-stage kidney cancer, offering similar 10-year survival rates with a lower rate of complications, according to a study in Radiology.
Kidney cancer is among the 10 most common cancers in men and women in the United States. About 70% of cases are found at stage 1. Treatment typically involves partial nephrectomy. Radical nephrectomy is another surgical option.
Percutaneous cryoablation (PCA) has emerged as an alternative to surgery that kills the tumor by freezing it. In the procedure, an interventional radiologist inserts a hollow needle into the tumor under imaging guidance. Argon gas circulating through the needle freezes a small volume of tissue, including the tumor and a small amount of normal tissue around it. The tumor dies, and over time it turns into scar tissue that is absorbed by the body.
“We have been doing cryoablation with increasing frequency at Johns Hopkins,” said study lead author Christos S. Georgiades, MD, PhD, professor of radiology, oncology and surgery from the Department of Vascular and Interventional Radiology at Johns Hopkins University, Baltimore. “It’s an outpatient procedure that takes about 30 to 40 minutes to perform. We observe the patient for three hours, and then they can go home.”
Survival Rate Was Comparable to Nephrectomy
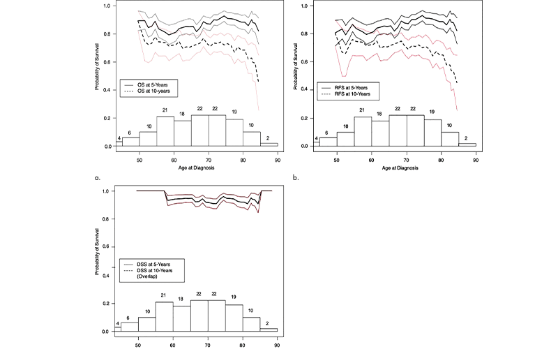
For the study, Dr. Georgiades and colleagues looked at 134 patients who underwent cryoablation for early-stage kidney cancer and compared their outcomes over 10 years with those of patients who had either a radical or partial nephrectomy.
Disease-specific survival was 94% at both five and 10 years after treatment, a figure comparable to that reported after radical or partial nephrectomy. Overall survival probability after percutaneous cryoablation at five and 10 years was longer than for radical or partial nephrectomy.
“For certain patients, cryoablation is equivalent to surgery with fewer side effects,” Dr. Georgiades said. “The risk of significant complications from this procedure is about 6%, compared to between 15 and 20% for surgery. In addition, recovery is much faster than with surgery.”
The study also found that cryoablation was associated with a low 10-year risk of hemodialysis.
Dr. Georgiades emphasized that cryoablation is only appropriate for early-stage kidney cancer that is confined to the kidney and is up to about 4 centimeters in size. It would not be effective in larger tumors. He doesn’t treat patients with cryoablation unless they see a urologist first to get briefed on the surgical option.
“If a patient is interested in hearing about cryoablation, I’ll explain the risks, benefits and outcomes,” Dr. Georgiades said. “At Johns Hopkins, we give patients all the options and, in the end, they make the final decision. I only offer cryoablation if I know it’s going to be beneficial to the patient.”
As of now, the standard of care for early-stage kidney cancer is partial nephrectomy. However, the study results from Johns Hopkins, along with results from other studies, are likely to be considered by medical societies as they update their guidelines.
“Studies like this may convince societies to make cryoablation the go-to option, at least for early-stage kidney cancer,” Dr. Georgiades said.
For More Information
Access the Radiology study, “Percutaneous Cryoablation for Stage 1 Renal Cell Carcinoma: Outcomes from a 10-year, Prospective Study and Comparison with Matched Cohorts from the National Cancer Database.”
