RSNA Press Release

MRI Effective for Monitoring Liver Fat in Obese Patients

Released: December 18, 2018
RSNA Media Relations
1-630-590-7762
media@rsna.org
Linda Brooks
1-630-590-7738
lbrooks@rsna.org

At A Glance

  • Liver fat in 50 patients was assessed before and after bariatric surgery using chemical shift-encoded MRI (CSE-MRI), a safe and noninvasive technique.
  • The researchers performed CSE-MRI twice before surgery and multiple times in the year following the procedure.
  • CSE-MRI showed that liver fat measurements in the study group decreased from 18 percent to about 5 percent.

OAK BROOK, Ill. — MRI provides a safe, noninvasive way to monitor liver fat levels in people who undergo weight loss treatments for obesity, according to a new study published in the journal Radiology.

download full-size photo

B. Dustin Pooler, M.D.

B. Dustin Pooler, M.D.

Obesity is a major U.S. public health issue, with more than two-thirds of American adults considered overweight or obese. Non-alcoholic fatty liver disease is common in obese patients. The condition can progress to cirrhosis and is associated with a higher risk of liver cancer.

Bariatric surgical procedures such as gastric bypass or sleeve gastrectomy have proven to be effective weight loss interventions in patients with obesity. However, not much is known about the relationship between overall weight loss achieved by these treatments and decreases in liver fat content. Liver fat is difficult to measure noninvasively, and biopsy's invasiveness makes it unfeasible for monitoring changes in the liver over time.

The new study assessed liver fat before and after bariatric surgery through a promising noninvasive imaging option known as quantitative chemical shift-encoded MRI (CSE-MRI). The technique produces a measure of liver fat called a proton density fat fraction (PDFF). 

"CSE-MRI allows us to represent the measurement of liver fat as a percentage," said study coauthor B. Dustin Pooler, M.D., adjunct assistant professor at the University of Wisconsin School of Medicine and Public Health and radiologist at Madison Radiologists, S.C., in Madison, Wis. "Each patient can get an assessment of fat throughout the liver that is easy for them to understand. The numbers also allowed us to perform comparisons with liver fat measurements from surgical and biopsy specimens."

Dr. Pooler and colleagues studied CSE-MRI in 50 obese patients who underwent bariatric surgery for weight loss. The patients went on a low-calorie diet before the surgery, an approach that has been shown to increase the safety and efficacy of the surgery.

The researchers performed CSE-MRI twice before surgery and then multiple times in the year following the procedure. They also compared liver fat changes as determined by PDFF with changes in body mass index (BMI), weight and waist circumference.

By six to 10 months following surgery, mean PDFF in the study group decreased from 18 percent to about 5 percent—normal range is 5 percent or less—and mean BMI decreased from 45 to 34.5. The mean estimated time to PDFF normalization was approximately five months. The initial PDFF was the only strong predictor of both liver fat loss and time to normalization.

"The results showed a rapid early phase of improvements in liver fat, followed by a phase of continued improvements at a slower pace," Dr. Pooler said. "The changes began with the initiation of the low-calorie diet and occurred in advance of the overall improvements in BMI among the patients."

The results suggest several potential roles for CSE-MRI in the management of obese patients with fatty livers. PDFF measurements could help in the selection of patients for bariatric surgery because of the strong correlation between liver fat reductions and pre-treatment liver fat content. In addition, since decreases in liver fat content were only weakly correlated with starting weight and overall weight loss, monitoring liver fat with MRI following bariatric surgery, independent of monitoring weight loss, would be useful. The greatest potential benefit could be for patients with fatty livers regardless of their starting weight or weight loss.

"There is this assumption that when you lose weight you also reduce liver fat, but the relationship was very hard to measure prior to having a good tool like MRI," Dr. Pooler said. "This study shows that the MRI technique is very clinically feasible for monitoring liver fat over time."

Dr. Pooler said the CSE-MRI technique could have applications beyond monitoring the effects of bariatric surgery.

"We looked at bariatric surgery patients in our study, but there's no reason this clinical tool can't be used to monitor all sorts of weight loss patients," he said. "We want patients and physicians to know that this is an option for them. We've done the validation and the next step is to make people more aware of this option."

"Monitoring Fatty Liver Disease with MRI Following Bariatric Surgery: A Prospective, Dual-Center Study." Collaborating with Dr. Pooler were Curtis N. Wiens, Ph.D., Alan McMillan, Ph.D., Nathan S. Artz, Ph.D., Alexandra Schlein, B.S., Yesenia Covarrubias, B.S., Jonathan Hooker, B.S., Jeffrey B. Schwimmer, M.D., Luke M. Funk, M.D., M.P.H., Guilherme M. Campos, M.D., Jacob A. Greenberg, M.D., Ed.M., Garth Jacobsen, M.D., Santiago Horgan, M.D., Tanya Wolfson, M.A., Anthony C. Gamst, Ph.D., Claude B. Sirlin, M.D., and Scott B. Reeder, M.D., Ph.D.

Radiology is edited by David A. Bluemke, M.D., Ph.D., University of Wisconsin School of Medicine and Public Health, Madison, Wis., and owned and published by the Radiological Society of North America, Inc. (http://radiology.rsna.org/)

RSNA is an association of over 54,000 radiologists, radiation oncologists, medical physicists and related scientists, promoting excellence in patient care and health care delivery through education, research and technologic innovation. The Society is based in Oak Brook, Ill. (RSNA.org)

For patient-friendly information on MRI, visit RadiologyInfo.org.

Images (JPG, TIF):

Figure 1. Proton density fat fraction (PDFF, %) maps in a 55-year-old woman who underwent gastric bypass with preoperative very low calorie diet (VLCD) demonstrate progressive reduction in liver fat content. Regions of interest (circles) were obtained from each Couinaud segment of the liver, with care taken to avoid major vessels, and were averaged to obtain mean liver PDFF. Initial mean liver PDFF was 28.3 percent at the preoperative MRI (top left), which decreased to 18.9 percent following the preoperative VLCD period (top middle). Following gastric bypass, further decreases in PDFF were seen, measuring 9.0 percent at 1 month (top right), 5.8 percent at 3 months (bottom left), and finally normalizing to 4.1 percent at 6 months (bottom middle). A PDFF fat content scale is provided. As an internal reference, note that PDFF signal remains consistently low within the spleen (S), while the liver progressively darkens as fat content decreases. Also note the reduction in the quantity of subcutaneous adipose tissue. The woman's body mass index at each time point was 43.7, 41.7, 38.7, 36.4, and 32.4 kg/m2, respectively.

High-res (TIF) version
Figure 2. Flow diagram of study cohort. VLCD = very low calorie diet, NAFLD = nonalcoholic fatty liver disease, BMI = body mass index.

High-res (TIF) version
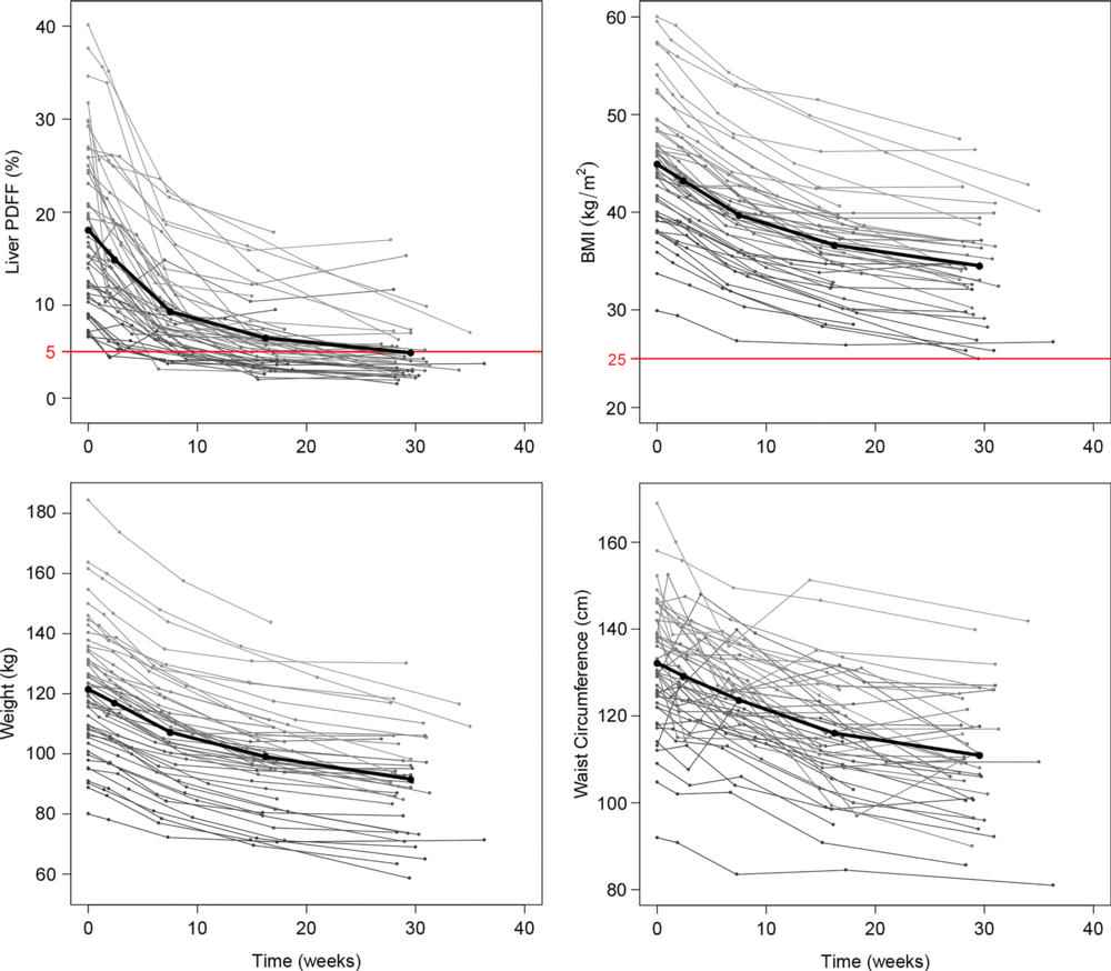
Figure 3. Liver proton density fat fraction (PDFF), body mass index (BMI), weight, and waist circumference trajectories over time for each study participant. The thick trajectory on each plot represents sample averages at average visit times.

High-res (TIF) version
Figure 4. Graphs show the rate of change in liver proton density fat fraction (PDFF) versus rates of change in other body anthropometrics: body mass index (BMI), weight, and waist circumference. The red circles and dashed line represent the short-term period (time spanning from initiation of very low calorie diet through the 1-month postoperative MRI). The black triangles and solid line represent the longer term period (time spanning from the 1-month postoperative MRI through the 6-month postoperative MRI). The relationships are stronger in the acute period. Changes in waist circumference were not significantly correlated with changes in PDFF.

High-res (TIF) version
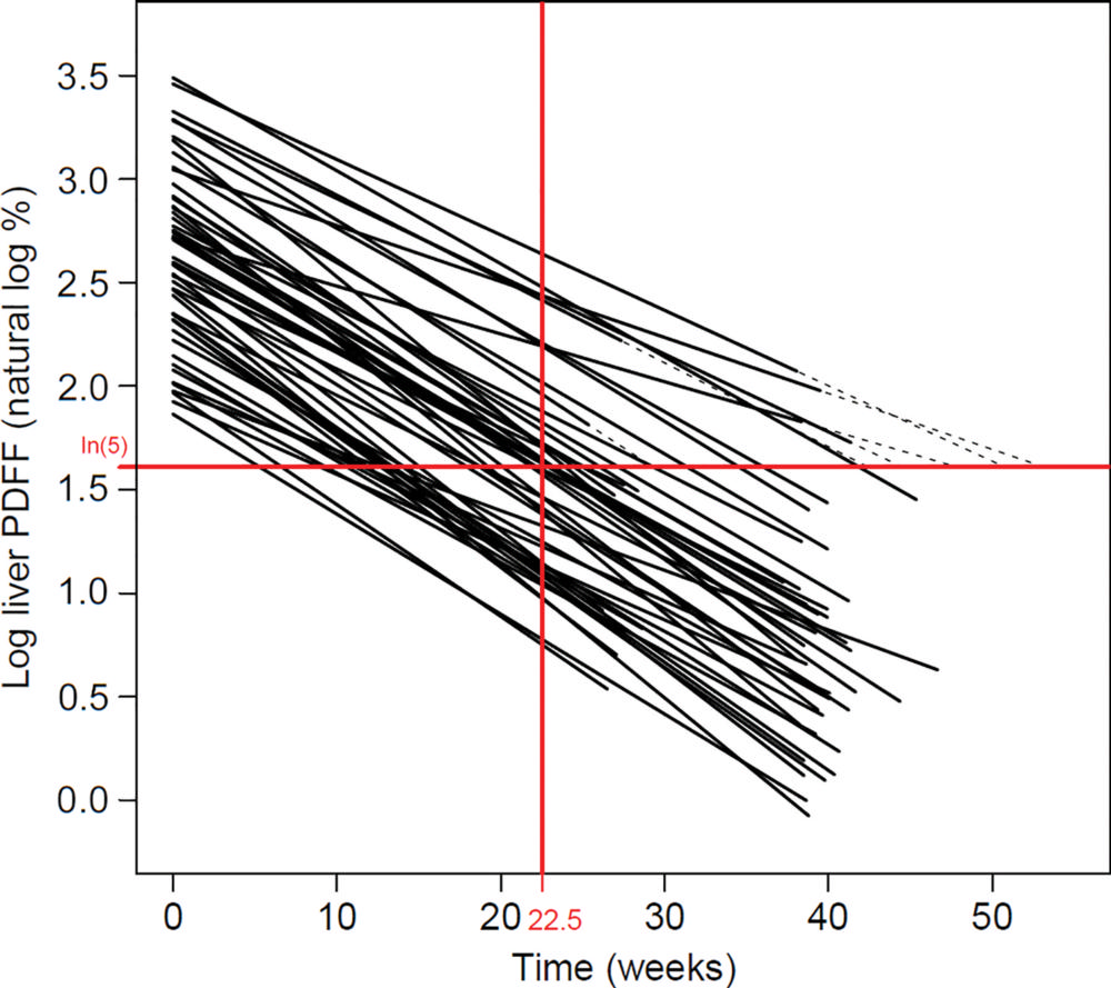
Figure 5. Estimation of time to proton density fat fraction (PDFF) normalization, with the upper limit of normal PDFF for liver defined as 5 percent. Time 0 corresponds to baseline visit. Mixed-effects linear regression modeling of natural log-transformed PDFF (y-axis) as a function of time (x-axis) demonstrates a mean time to normalization (the point where the natural log-transformed trajectory crosses the ln [5 percent] = 1.6 percent line) of 22.5 weeks. Trajectories have been extended (dashed lines) for 13 participants for whom the estimated crossing time occurs outside the observation window. Of note, in this sample it was estimated that 90 percent of study participants achieved normal PDFF of 5 percent by 42 weeks.

High-res (TIF) version