RSNA Press Release

Radiologists Probe Aftermath of Mass Casualty Terror Attack

Released: September 30, 2025
RSNA Media Relations
1-630-590-7762
media@rsna.org
Linda Brooks
1-630-590-7738
lbrooks@rsna.org

OAK BROOK, Ill. — Researchers in Israel have detailed the experience of one hospital's radiology department during the mass casualty incident following the October 7, 2023, attack in southern Israel, to provide recommendations for future crisis preparedness, according to a new study published today in Radiologyy, a journal of the Radiological Society of North America (RSNA). The findings underscore the critical importance of in-hospital triage protocols, rapid staff mobilization and versatile imaging resources management.

"Prior mass casualty incident reports, such as those following the Boston Marathon bombing and the 2011 Norway attacks, taught us a lot about radiology under pressure," said the study's lead author, Gal Ben-Arie, M.D., senior radiologist and head of Innovation & Artificial Intelligence in Imaging at Soroka University Medical Center (SUMC) and vice dean for Innovation Affairs, Faculty of Health Sciences at Ben-Gurion University of the Negev in Be'er Sheva, Israel. "What's different here is the combination of scale, duration, and the need to run imaging during active missile alerts, while dynamically redistributing patients across shielded scanners and conducting imaging triage at the scanner itself."

Gal Ben-Arie, M.D.

Gal Ben-Arie, M.D.

Mass casualty incidents temporarily overwhelm medical systems. As the only level 1 trauma center in the region, SUMC served as the primary evacuation destination, receiving 673 injured individuals, far exceeding the threshold for a large mass casualty incident.

Unlike typical mass casualty incidents with defined chaotic, plateau, and resolution phases, the attack generated a prolonged chaotic phase and an unprecedented influx of casualties. Due to the large number of casualties and the dispersed nature of the attack, victims were rapidly transported with minimal or no triage performed at the scene. The continuous influx of severely injured patients, many with penetrating injuries, caused immediate and extreme pressure on the imaging services. Speed and quality of imaging are pivotal for guiding clinical decisions in this type of high-stakes setting.

Casualties arrived by ambulances, helicopters and private vehicles, with over 400 patients arriving within the first eight hours of the attack. The sustained pressure was further complicated by ongoing rocket attacks, which hampered staff mobilization and resource adaptation.

The research team looked at the first 24 hours after the attack, tracking which patients were imaged, clinical and imaging findings, imaging locations and step-by-step time intervals. They compared these metrics with a 12-month baseline.

Of the 673 casualties arriving at SUMC, 461 injured patients underwent imaging. Of these, 351 patients had X-rays, 164 had CT and 54 received both. Injuries ranged from blunt trauma caused by direct physical contact, to penetrating trauma involving guns, grenades and other explosive devices.

"Staffing escalated rapidly, with a radiologist positioned at each CT console and stable patients redirected to shielded non-emergency department scanners," Dr. Ben-Arie said. "A multi-algorithm AI suite analyzed all CTs in real time and used natural language processing to flag image–report mismatches."

The researchers captured timestamps from order to completion and compared them with Emergency Department radiology data from the preceding 12 months.

"Under extreme surge, CT turnaround time got faster, not slower," Dr. Ben-Arie said. "Despite record volume, median CT order-to-completion fell from 54 to 28 minutes, a result of staffing, scanner strategy and having the radiologist at the console. Meanwhile X-ray completion times rose slightly (43 to 49 minutes), reflecting an intentional trade-off to preserve CT throughput for the most critical patients."

AI performed best as a real-time safety net, flagging critical findings quickly and cross-checking reports, rather than serving as a primary triage engine, he noted.

"In contrast to earlier single-site Emergency Department experiences, our center had to repurpose our non-emergency department, shielded CT systems (radiotherapy simulation and PET-CT) and perform on-site re-triage at distant scanners to prevent misses and bottlenecks," Dr. Ben-Arie said.

Because the incident extended beyond 24 hours, the team also had to sustain care for emergencies not associated with the attack while managing the surge of trauma patients. They maintained a parallel pathway for non-mass casualty cases—with clinical assessment for all and urgent imaging when indicated—so routine emergency care could continue.

"That balancing act is a key part of the story of such large-scale mass casualty incidents and underscores disaster plans that prioritize life-threatening trauma without abandoning other acute patients," Dr. Ben-Arie said.

It is also a profoundly human story.

"Staff worked under extreme physical and emotional strain, often caring for patients while simultaneously worrying about their own families during the attacks," Dr. Ben-Arie said. "That resilience is an inseparable part of this experience and underscores the need to build systems that safeguard both patients and providers during prolonged mass casualty incidents, whether precipitated by terror attacks, as in this case, natural disasters or other crises."

The researchers offer generalizable tactics: staff surge and role clarity, imaging triage at the CT site, use of shielded, non-traditional scanners, and AI-enabled safety checks.

"Hospitals of all sizes can adapt these ideas," Dr. Ben-Arie said. "They can also plan staffing in phases (on-site and remote) with pre-credentialed teleradiology partners and protect staff well-being by incorporating mandatory rest rotations and a protected respite area to sustain performance and morale during prolonged operations."

Dr. Ben-Arie stressed that preparation should focus on flexibility.

"Train for the unexpected—not just for the last disaster—and build systems that can adapt quickly as conditions evolve," he said.

"Crisis-Responsive Imaging: Lessons from a High-Volume Mass Casualty Incident." Collaborating with Dr. Ben-Arie were Tomer Krutik, B.Med.Sci., Yonatan Serlin, M.D., Ran Abuhasira, M.D., Ph.D., Uriel Wachsman, M.D., Shlomit Tamir, M.D., Jacob Sosna, M.D., Larisa Dukhno, M.D., Tzachi Slutsky, M.D., Shlomi Codish, M.D., M.P.H., and Ilan Shelef, M.D., M.P.H.

Radiology is edited by co-interim editors Vicky Goh, M.B.B.Ch., King's College London, U.K., and Kathryn Fowler, M.D., University of California San Diego, California, and owned and published by the Radiological Society of North America, Inc. (https://pubs.rsna.org/journal/radiology)

RSNA is an association of radiologists, radiation oncologists, medical physicists and related scientists promoting excellence in patient care and health care delivery through education, research and technologic innovation. The Society is based in Oak Brook, Illinois. (RSNA.org)

For patient-friendly information on emergency imaging, visit RadiologyInfo.org.

Images (JPG, TIF):

Figure 1. Flowchart shows the use of imaging at the Soroka University Medical Center during the mass casualty incident (MCI) on October 7, 2023. A total of 673 injured patients arrived, and of these, 461 patients underwent imaging. Of the 461 patients who underwent imaging on October 7, 431 (93.5%) were MCI-related. Imaging distribution included radiography and CT; 54 patients underwent imaging with both modalities.
High-res (TIF) version
Figure 2. Representative injuries in patients from the mass casualty incident of October 7, 2023. (A) Axial CT scan at the pelvic level in a 34-year-old male patient shows multiple shrapnel fragments in the pelvis, resulting in fractures of the pelvic bones and lumbar vertebrae (not visible on this image). (B) Coronal reconstruction of a head CT scan in a 20-year-old male patient shows penetrating trauma to the left eyeball with a retained bullet in the orbital cavity. (C) Radiograph of a fetus delivered by emergency cesarean section from a critically injured mother shows a left pneumothorax and catheter in place. (D) Radiograph in a 25-year-old female patient shows a comminuted fracture in the tibial metaphysis with fragment displacement and multiple bony fragments in the surrounding soft tissues.
High-res (TIF) version
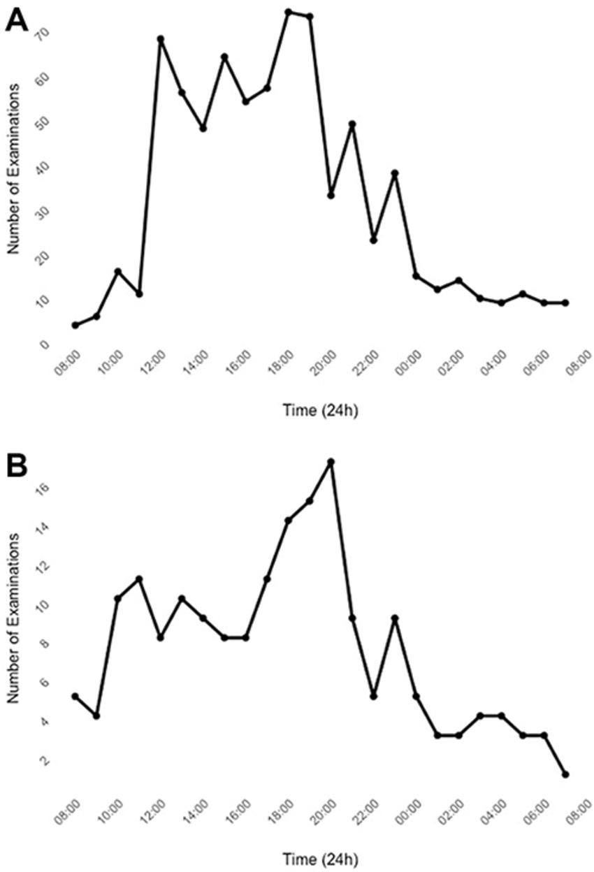
Figure 3. A total of (A)739 radiographic and (B) 179 CT examinations were performed at the radiology department on October 7, 2023, which included patients who required imaging related to the mass casualty incident (MCI) and patients who required imaging that was unrelated to the MCI. The highest hourly volume for radiography approached about 70 examinations, peaking in the early afternoon, whereas CT, mostly whole-body scanning, reached its maximum of around 16 examinations per hour in the early evening. These trends illustrate how imaging demand fluctuated throughout the day as more injured patients arrived.
High-res (TIF) version
Figure 4. Preparedness checklist shows strategies implemented to maintain diagnostic quality and reduce turnaround times (TAT) under extreme patient surge conditions during an MCI. AI = artificial intelligence, FAST = focused assessment with sonography in trauma, PACS = picture archiving and communication system.
High-res (TIF) version