RSNA Press Release

Density, Benign Disease Raise Risk of Breast Cancer

Released: May 17, 2022
RSNA Media Relations
1-630-590-7762
media@rsna.org
Linda Brooks
1-630-590-7738
lbrooks@rsna.org

At A Glance

  • Researchers investigated the risk of breast cancer associated with the combination of mammographic density and benign breast disease in 3.9 million women.
  • Benign breast disease and extremely dense breasts independently and combined raised the risk of developing breast cancer.
  • The findings suggest that women with dense breast tissue and a history of benign breast disease may benefit from a tailored screening regimen.
  • OAK BROOK, Ill. — Women with dense breast tissue and benign breast disease face an elevated risk of future breast cancer and could benefit from a tailored mammogram screening strategy, according to a large study published in the journal in Radiology.

    Benign breast disease refers to non-cancerous breast lumps, cysts or nipple discharge. It is a common condition that can affect both women and men.

    Research has shown that mammographic breast density and benign breast disease are strong risk factors for breast cancer. Less is known about the combined impact of the two risk factors.

    The new study investigated the risk of breast cancer associated with the combination of mammographic density and benign breast disease in 3.9 million Korean women. Breast cancer screening with mammography is provided for all women in Korea age 40 years or older, providing the researchers with a vast database for analysis.

    Boyoung Park, M.D., Ph.D.

    Boyoung Park, M.D., Ph.D.

    During an average follow-up of more than 10 years, more than 58,000 women developed breast cancer. Of the women who developed breast cancer, 10,729, or 18.4%, had benign breast disease.

    “While these benign breast diseases are not cancerous or life-threatening, our results, together with evidence from previous findings, show that they might increase the risk of breast cancer,” said study senior author Boyoung Park, M.D., Ph.D., from the Department of Preventive Medicine at Hanyang University College of Medicine in Seoul, Korea.

    Breast cancer risk was 3.2% in women with extremely dense breasts. This was significantly higher than the 1.36% risk in women with fatty breast tissue.

    Together, the two risk factors raised the risk of breast cancer when compared with women with non-dense breasts and those without benign breast disease.

    The study was the largest to examine benign breast disease and breast density in East Asian women. Its findings suggest that women with dense breast tissue and a history of benign breast disease may benefit from a tailored screening regimen. Supplemental screening with MRI or ultrasound is often recommended for women at high risk of breast cancer.

    Soyeoun Kim, M.P.H.

    Soyeoun Kim, M.P.H.

    “With the current findings, we believe that women with dense breasts and the presence of benign breast disease would be potential targets for supplemental screening,” said coauthor Soyeoun Kim, M.P.H., a Ph.D. candidate in Dr. Park’s lab.

    Screening frequency may also need to be adjusted in these women. Current recommendations vary from country to country. The American Cancer Society (ACS), for instance, recommends yearly screening in women beginning at age 45, with the option to begin at age 40. High-risk women should get yearly mammography and breast MRI starting at age 30, according to ACS recommendations.

    The researchers are currently working on a larger project with the ultimate goal of developing a new breast cancer prediction model.

    “We plan to develop a breast cancer prediction model that is more relevant to Asian women and includes new features that were not considered in the previous prediction models, such as benign breast diseases and breast density detected on mammograms,” Dr. Park said.

    “Mammographic Breast Density, Benign Breast Disease, and Subsequent Breast Cancer Risk in 3.9 Million Korean Women.” Collaborating with Soyeoun Kim and Dr. Park were Tran Thi Xuan Mai, Ph.D., Huiyeon Song, B.S., Seungho Ryu, M.D., Ph.D., and Yoosoo Chang, M.D., Ph.D.

    Radiology is edited by David A. Bluemke, M.D., Ph.D., University of Wisconsin School of Medicine and Public Health, Madison, Wisconsin, and owned and published by the Radiological Society of North America, Inc. (https://pubs.rsna.org/journal/radiology)

    RSNA is an association of radiologists, radiation oncologists, medical physicists and related scientists promoting excellence in patient care and health care delivery through education, research and technologic innovation. The Society is based in Oak Brook, Illinois. (RSNA.org)

    For patient-friendly information breast mammography and MRI, visit RadiologyInfo.org.

    Images (JPG, TIF):

    Figure 1. Flow diagram used for selection of the eligible population. BI-RADS = Breast Imaging Reporting and Data System.
    High-res (TIF) version
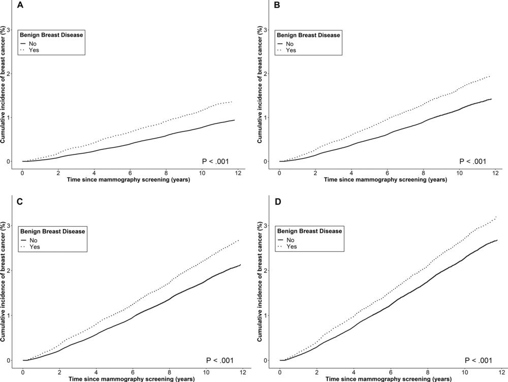
    Figure 2. Cumulative incidence functions of breast cancer risk by breast density classification. Dashed lines indicate cumulative incidence function in women without benign breast disease, and solid lines indicate cumulative incidence function in women with benign breast disease. P values were obtained with the Gray test for equality of cumulative incidence functions of the two groups. The cumulative breast cancer incidence was higher in those with benign breast disease, regardless of breast density. In women with and those without benign disease, the probability of developing breast cancer during follow-up increased corresponding to the breast density level: (A) 1.4% and 0.9%, respectively, in BI-RADS A; (B) 1.9% and 1.4%, respectively, in BI-RADS B; (C) 2.7% and 2.1%, respectively, in BI-RADS C; and (D) 3.2% and 2.7%, respectively, in BI-RADS D. BI-RADS = Breast Imaging Reporting and Data System.
    High-res (TIF) version