RSNA Press Release

Novel AI-enhanced MRI Boosts Success Rate in Patients with Arrhythmia

Released: March 26, 2026
RSNA Media Relations
1-630-590-7762
media@rsna.org
Linda Brooks
1-630-590-7738
lbrooks@rsna.org
Evonne Acevedo
1-630-368-7886
eacevedo@rsna.org

OAK BROOK, Ill. — AI-enhanced single-shot cine MRI produces superior image quality and provides ventricular measurements comparable to conventional cine MRI, according to new research published today in Radiology: Cardiothoracic Imaging, a journal of the Radiological Society of North America (RSNA).

Accurate assessment of left ventricular function is essential for guiding treatment decisions, monitoring therapeutic responses and predicting outcomes in patients with heart failure. Cardiac MRI is the standard modality for evaluating left ventricular function and is traditionally performed using conventional cine sequences known as balanced steady-state free precession. Cine MRI captures moving images and effectively visualizes dynamic bodily processes in real time. However, it requires patients to hold their breath multiple times during the scan, which can be difficult for those with arrhythmia, or irregular heartbeat.

“For patients with severe arrhythmias, breath-holding can be particularly challenging, often resulting in compromised image quality, exam failure or inaccurate assessments,” said lead researcher Nan Zhang, M.S., supervisor radiologic technologist, Department of Radiology, Zhongshan Hospital of Fudan University in Shanghai. 

Single-shot cine sequences address this challenge by capturing the entire cardiac cycle in just two heartbeats, thereby shortening the breath-hold duration and significantly reducing the impact of arrhythmias on image quality. 

In the study, Zhang and colleagues evaluated the feasibility of using deep-learning–enhanced Compressed SENSE (AI-CS) to assess left ventricular structure and function. While AI-CS has shown promise in various clinical applications, this is the first study to apply the technique to imaging patients with arrhythmia.

The study cohort included 25 healthy volunteers and 45 patients with suspected arrhythmias. Each participant underwent cine imaging with both conventional cine MRI and AI-CS single-shot cine sequences. 

Left ventricular volumetric and strain parameters measured for each method included: end-diastolic volume, end-systolic volume, stroke volume, ejection fraction, peak strain (in the radial, longitudinal, and circumferential directions), and standard deviation of peak strain. 

Three cardiovascular radiologists, blinded to clinical information and prior imaging results, independently analyzed the images, assessing artifacts and the visibility of cardiac structures.

The AI-CS single-shot cine demonstrated significantly better image quality compared to conventional cine, particularly in participants with arrhythmia, with fewer mistrigger events and motion artifacts. Mistriggering can occur when a patient has arrhythmia, causing the scanner to miss the intended phase. Motion artifacts in MRI are common image disturbances that can be caused by physiological (breathing, cardiac) or involuntary movement during data acquisition. 

AI-CS also showed good-to-excellent agreement with conventional cine for measurements of biventricular volumes and left ventricular mass. In cases where conventional cine failed, AI-CS provided ejection fraction—the measurement of how much blood the heart’s left ventricular pumps out—comparable to values from echocardiography. 

“The AI-CS sequence effectively avoided the cardiac motion artifacts commonly caused by mistriggering in conventional cine,” Zhang said. “It also demonstrated a shorter mean acquisition time while providing improved image quality, particularly in the visualization of the endocardial border, epicardial border, papillary muscles and cardiac motion.”

The success rate for the AI-CS single-shot cine sequence in the study was 100% compared to 88% for the conventional cine sequence, underscoring the challenge of using cardiac MRI to accurately assess ventricular function in patients with arrhythmia. 

“The AI-CS framework offers a promising alternative for cardiac MRI examinations in the clinical setting, where long acquisition time remains a major challenge,” Zhang said. “Further optimization of the AI-CS framework, particularly regarding image contrast and artifact reduction, will enhance its applicability in routine clinical practice.”

“Feasibility of Free-breathing Deep Learning-reconstructed Single-Shot Cine MRI in Participants with Arrhythmia: Comparison with Conventional Segmented Cine MRI.” Collaborating with Nan Zhang were Fan Du, B.S., Caizhong Chen, B.S., Xiuzheng Yue, M.D., Mengsu Zeng, M.D., Ph.D.., and Hang Jin, M.D., Ph.D.

Radiology: Cardiothoracic Imaging is edited by interim editor Harold I. Litt, MD, Ph.D., Perelman School of Medicine of the University of Pennsylvania, Philadelphia, Pennsylvania, and owned and published by the Radiological Society of North America, Inc. (https://pubs.rsna.org/journal/cardiothoracic)

RSNA is an association of radiologists, radiation oncologists, medical physicists and related scientists promoting excellence in patient care and health care delivery through education, research and technologic innovation. The Society is based in Oak Brook, Illinois. (RSNA.org)

For patient-friendly information on MRI, visit RadiologyInfo.org.

 

Images (JPG, TIF):

Figure 1. Flowchart of participants and healthy volunteers who were included and evaluated in the study.

Figure 2. Representative images of participants with difficulty with breath holding and arrhythmia. In the lower right corner of A–L, the position coordinates of the images are marked. Short-axis (SA) view images in the end-systole (A–F) and end-diastole (G–L) phases in participants with atrial fibrillation. (A–C, G–I) Balanced steady-state free precession (bSSFP) cardiac cine. (D–F, J–L) Deep learning–enhanced compressed sensing (AI-CS) single-shot cardiac cine. In contrast to AI-CS single-shot cardiac cine, endocardial contours were challenging to identify on conventional segmented cine in midventricular and apical sections. (M) Line graph of time curve during the whole cardiac cycle obtained from bSSFP cardiac cine. (N) Line graph of time curve during the whole cardiac cycle obtained from AI-CS single-shot cardiac cine. LV = left ventricle., 2D = two-dimensional.
Figure 3. Stacked bar charts show the distribution of structure visualization ratings used for qualitative image assessment stratified by sequence type. (A–F) Structure visualization rating for volunteers. (G–L) Structure visualization rating for participants. Qualitative ratings of blood pool contrast were higher for the balanced steady-state free precession (bSSFP) than for the deep learning–enhanced compressed sensing (AI-CS) single-shot cine. Qualitative ratings of the endocardial border, blood pool contrast, and cardiac motion were higher for the AI-CS single-shot cine than for the bSSFP cine. (M) The excellent rating is the bottom segment of each bar.
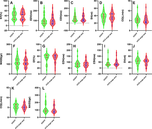
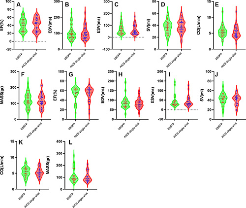
Figure 4. Dot plots show quantitative evaluation metrics for each participant stratified by sequence type. There was no evidence of a difference in left ventricular (LV) volumetric measurements between the two methods for volunteers and participants. (A–F) LV volumetric measurements of the volunteers. (G–L) LV volumetric measurements of the participants. AI-CS = deep learning–enhanced compressed sensing, bSSFP = balanced steady-state free precession, CO = cardiac output, EDV = end-diastolic volume, EF = ejection fraction, ESV = end-systolic volume, SV = stroke volume.
Figure 5. Dot plots show quantitative evaluation metrics for each participant stratified by sequence type. There was no evidence of a difference in the left ventricular (LV) strain measurements between the two methods for volunteers and participants. (A–F) LV strain measurements of the volunteers. (G–I) LV strain measurements of the participants. AI-CS = deep learning–enhanced compressed sensing, bSSFP = balanced steady-state free precession, GCS = global circumferential strain, GLS = global longitudinal strain, GRS = global radial strain, SD-TPSC = SD of the time to peak strain in circumferential direction, SD-TPSL = SD of the time to peak strain in longitudinal direction, SD-TPSR = SD of the time to peak strain in radial direction.