RSNA Press Release

Recurrent Brain Trauma May Increase Alzheimer’s Risk

Released: May 9, 2023
RSNA Media Relations
1-630-590-7762
media@rsna.org
Linda Brooks
1-630-590-7738
lbrooks@rsna.org

At A Glance

  • The brains of military personnel exposed to explosions show an abnormal accumulation of amyloid-beta protein.
  • Abnormal amyloid accumulation was seen in two-thirds of study participants exposed to explosions.
  • Amyloid-beta protein accumulation has been linked to the development of Alzheimer’s disease.
  • OAK BROOK, Ill. — New research finds that the brains of otherwise healthy military personnel who are exposed to explosions show an abnormal brain accumulation of amyloid-beta protein—a protein that plays a role in the development of Alzheimer's disease. The results of the study were published today in Radiology, a journal of the Radiological Society of North America (RSNA).

    Research over the last several decades suggests that there might be a relationship between repetitive or severe traumatic brain injury (TBI) and abnormal amyloid-beta accumulation. Certain forms of amyloid-beta can accumulate into tangles and plaques in the brain which can lead to cognitive decline and neurodegenerative diseases such as Alzheimer's disease.

    Carlos Leiva-Salinas, M.D., Ph.D., M.B.A.

    Carlos Leiva-Salinas, M.D., Ph.D., M.B.A.

    "Amyloid-beta is a molecule not normally found in the brains of young patients," said study author Carlos Leiva-Salinas, M.D., Ph.D., M.B.A., associate professor of radiology at the University of Missouri School of Medicine in Columbia, Missouri. "Amyloid-beta accumulation in the brain is proposed to be an early event in the pathogenesis of Alzheimer's disease, the most common type of dementia worldwide, impacting millions of people."

    TBI can be the result of direct head trauma, such as from a fall or from playing contact sports, but it can also result from indirect forces—such as shockwaves from battlefield explosions—that shake the brain violently in the skull.

    Previous autopsy studies have shown the presence of amyloid plaques as early as hours after severe brain injury.

    "Non-invasive positron emission tomography, or PET, imaging could be used to identify early-stage amyloid-beta accumulation in individuals or professions exposed to traumatic brain injury such as military personnel, police officers, firefighters, football players, etc.," Dr. Leiva-Salinas said.

    For the study, researchers recruited nine military grenade or breacher instructors at Fort Leonard Wood Military Base in Fort Leonard, Missouri, from January 2020 to December 2021. Grenade and breacher instructors are military officers who train recruits in the use of hand grenades and explosives or other mechanical methods to force open doors.

    An additional nine civilians were included in the study as a healthy control group. All participants had no previous history of concussion, and they were all males in their early 30s, an age at which amyloid accumulation is not expected.

    The 18 participants were evaluated twice. The first evaluation was to establish a baseline and the second occurred after blast exposure, approximately five months after the baseline examination. The military instructors filled out a digital log with the number of exposures to explosions, including the firing of weapons. The control participants were evaluated at similar time points.

    All participants underwent a PET scan of the head to evaluate and quantify amyloid changes. Analysis software was used to segment six brain regions that are usually associated with Alzheimer's disease and TBI.

    Abnormal amyloid accumulation was seen in six of the nine participants who were exposed to explosions. Three of the participants had one region of the brain with increased amyloid accumulation, two participants had two regions, and one participant had three regions with abnormal accumulation.

    None of the healthy control participants showed any abnormal amyloid accumulation.

    "Further research needs to be done to establish the relationship between the frequency and the severity of traumatic brain injury and the degree of amyloid changes in the brain, the natural course of the observed accumulation, and other potential biologic risk factors for amyloid plaque deposition and the development of cognitive decline," Dr. Leiva-Salinas said.

    "Early Brain Amyloid Accumulation on PET in Military Instructors Exposed to Subconcussive Blast Injuries." Collaborating with Dr. Leiva-Salinas were Amolak Singh, M.D., Eleanor Layfield, M.D., Lucia Flors, M.D., Ph.D., M.B.A., and James T. Patrie, M.S.

    In 2023, Radiology is celebrating its 100th anniversary with 12 centennial issues, highlighting Radiology's legacy of publishing exceptional and practical science to improve patient care.

    Radiology is edited by Linda Moy, M.D., New York University, New York, N.Y., and owned and published by the Radiological Society of North America, Inc. (https://pubs.rsna.org/journal/radiology)

    RSNA is an association of radiologists, radiation oncologists, medical physicists and related scientists promoting excellence in patient care and health care delivery through education, research, and technologic innovation. The Society is based in Oak Brook, Illinois. (RSNA.org)

    For patient-friendly information on PET, visit RadiologyInfo.org.

    Images (JPG, TIF):

    Figure 1. Parametric maps of amyloid deposition in healthy control participants (A and B) and blast-exposed military instructors (C and D) at baseline (A and C) and follow-up (B and D). The blue-to-red scale indicates the frequency of statistically abnormal amyloid uptake in a particular brain voxel. Whereas no abnormal amyloid uptake was identified at baseline or follow-up in healthy control participants (A, B) , amyloid deposition occurred most frequently in blast-exposed participants in the superior parietal lobules, precuneus, cingulum, paracentral lobules, and anterior temporal and occipital lobes (D) . A = anterior, Ant = anterior, I = inferior, Inf = inferior, L = left, Lat = lateral, Med = medial, P = posterior, Post = posterior, R = right, S = superior, Sup = superior.
    High-res (TIF) version
    Figure 2. (A) Baseline and (B) follow-up volume-rendered amyloid PET images acquired 5 months apart in a male participant exposed to subconcussive blast injuries. Red clusters identify abnormal amyloid uptake compared with healthy control participants by statistical modeling. (B) Note amyloid deposition at follow-up in the precuneus, posterior cingulum, paracentral lobules, and lateral temporal and inferomedial frontal lobes. A = anterior, Ant = anterior, I = inferior, Inf = inferior, L = left, Lat = lateral, Med = medial, P = posterior, Post = posterior, R = right, S = superior, Sup = superior.
    High-res (TIF) version
    Figure 3. (A–F) Empirical distribution of amyloid changes for the healthy control (HC) and blast-exposed (BE) groups stratified by anatomic location. Average is shown in G. Black horizontal lines are the median of the distribution and red horizontal lines are the mean of the distribution. The length of the box is the IQR of the empirical distribution. The lower and upper whiskers are the minimum and maximum values of the empirical distribution. Statistically significant intersubject comparisons (ie, blast trauma vs control) are enclosed within a blue border rectangular box, and statistically significant intrasubject comparisons (ie, visit 1 vs visit 2) are identified by visit 1 and visit 2 red border rectangular boxes. Statistical significance is according to the Benjamini-Hochberg 5% overall false-discovery threshold. A = anterior, IM = inferomedial, Lat = lateral, P = posterior, SPL = superior parietal lobule.
    High-res (TIF) version
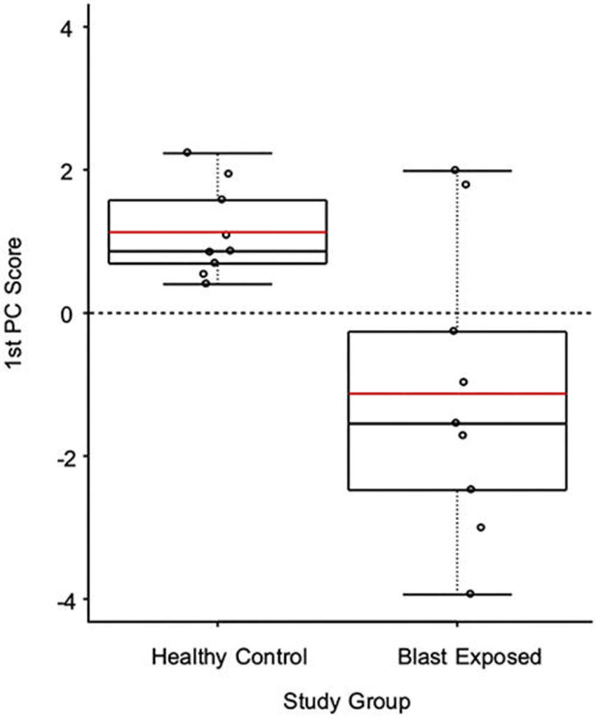
    Figure 4. Box and whisker plots show empirical distributions of the first principal component (PC) scores for heathy control participants and blast-exposed participants. Black horizontal lines are the median of the distribution and red horizontal lines are the mean of the distribution. The length of the box is the IQR of the empirical distribution. The lower and upper whiskers are the minimum and maximum values of the empirical distribution.
    High-res (TIF) version
    Figure 5. (A) Linear discriminant analysis classification probabilities for classifying healthy control participants as either a member of the healthy control group or the blast-exposed group. (B) Similar classification probabilities for classifying blast-exposed participants as either a member of the healthy control group or the blast-exposed group. Numbers above the bars are the numbers of blasts that the blast-exposed participant sustained. ID = identification.
    High-res (TIF) version