RSNA Press Release

Hidden Fat Predicts Alzheimer’s 20 Years Ahead of Symptoms

Released: December 2, 2024
RSNA Media Relations
1-630-590-7762
media@rsna.org
Linda Brooks
1-630-590-7738
lbrooks@rsna.org

At A Glance

  • Researchers have linked visceral body fat in midlife with Alzheimer’s disease up to 20 years before symptoms appear.
  • Visceral fat is linked to reduced cerebral blood flow and the abnormal protein in the brain that is associated with Alzheimer’s disease.
  • Lifestyle modifications targeted at reducing the fat could influence the development of Alzheimer’s disease.
  • CHICAGO — Researchers have linked a specific type of body fat to the abnormal proteins in the brain that are hallmarks of Alzheimer's disease up to 20 years before the earliest symptoms of dementia appear, according to a study being presented today at the annual meeting of the Radiological Society of North America (RSNA). The researchers emphasized that lifestyle modifications targeted at reducing this fat could influence the development of Alzheimer's disease.

    "This crucial result was discovered because we investigated Alzheimer's disease pathology as early as midlife—in the 40s and 50s—when the disease pathology is at its earliest stages, and potential modifications like weight loss and reducing visceral fat are more effective as a means of preventing or delaying the onset of the disease," said lead study author Mahsa Dolatshahi, M.D., M.P.H., post-doctoral research associate at Mallinckrodt Institute of Radiology (MIR) at Washington University School of Medicine in St. Louis, Missouri.

    Mahsa Dolatshahi, M.D., M.P.H.

    Mahsa Dolatshahi, M.D., M.P.H.

    An estimated 6.9 million Americans, aged 65 and older, are living with Alzheimer's disease, according to the Alzheimer's Association. The association estimates this number could grow to 13 million by 2050, barring the development of medical breakthroughs to prevent or cure the disease.

    For the study, the researchers focused on the link between modifiable lifestyle-related factors, such as obesity, body fat distribution and metabolic aspects, and Alzheimer's disease pathology.

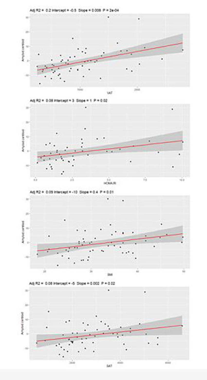
    A total of 80 cognitively normal midlife individuals (average age: 49.4 years, female: 62.5%,) were included in the study. Approximately 57.5% of participants were obese, and the average body mass index (BMI) of the participants was 32.31. The participants underwent brain positron emission tomography (PET), body MRI and metabolic assessment (glucose and insulin measurements), as well as a lipid (cholesterol) panel. MRI scans of the abdomen were performed to measure the volume of the subcutaneous fat (the fat under skin) and visceral fat (deep hidden fat surrounding the organs).

    "We investigated the association of BMI, visceral fat, subcutaneous fat, liver fat fraction, thigh fat and muscle, as well as insulin resistance and HDL (good cholesterol), with amyloid and tau deposition in Alzheimer's disease," said Dr. Dolatshahi, a member of the Raji Lab at MIR's Neuroimaging Labs Research Center.

    Thigh muscle scans were used to measure volume of muscle and fat. Alzheimer's disease pathology was measured using PET scans with tracers that bind to amyloid plaques and tau tangles that accumulate in the brains of people with Alzheimer's disease.

    The findings revealed that higher levels of visceral fat were related to increased amyloid, accounting for 77% of the effect of high BMI on amyloid accumulation. Other types of fat did not explain obesity-related increased Alzheimer's pathology.

    "Our study showed that higher visceral fat was associated with higher PET levels of the two hallmark pathologic proteins of Alzheimer's disease—amyloid and tau," Dr. Dolatshahi said. "To our knowledge, our study is the only one to demonstrate these findings at midlife where our participants are decades out from developing the earliest symptoms of the dementia that results from Alzheimer's disease."

    The study also showed that higher insulin resistance and lower HDL were associated with high amyloid in the brain. The effects of visceral fat on amyloid pathology were partially reduced in people with higher HDL.

    Cyrus A. Raji, M.D., Ph.D.

    Cyrus A. Raji, M.D., Ph.D.

    "A key implication of our work is that managing Alzheimer's risk in obesity will need to involve targeting the related metabolic and lipid issues that often arise with higher body fat," said senior study author Cyrus A. Raji, M.D., Ph.D., associate professor of radiology at MIR.

    Although previous studies have shown the role of high BMI in damaging the cells of the brain, no similar study has investigated the differential role of visceral and subcutaneous fat or metabolic profile, especially in terms of Alzheimer's amyloid pathology as early as midlife, Dr. Dolatshahi pointed out.

    "This study goes beyond using BMI to characterize body fat more accurately with MRI and, in so doing, reveals key insights about why obesity can increase risk for Alzheimer's disease," Dr. Dolatshahi said.

    Drs. Raji, Dolatshahi and colleagues are also presenting a study at RSNA 2024 that shows how obesity and visceral fat reduce blood flow in the brain.

    In that study, the researchers performed brain and abdominal MRI on cognitively normal midlife individuals with a wide range of BMI and compared whole-brain and regional cerebral blood flow on brain MRI in individuals with high vs. low visceral and subcutaneous fat. The high visceral fat group showed lower whole-brain blood flow. No significant difference was observed in cerebral blood flow in the groups with high vs. low subcutaneous fat.

    "This work will have a considerable impact on public health because nearly three out of four Americans are overweight or obese," Dr. Raji said. "Knowing that visceral obesity negatively affects the brain opens up the possibility that treatment with lifestyle modifications or appropriate weight-loss drugs could improve cerebral blood flow and potentially lower the burden of and reduce the risk for Alzheimer's disease."

    Other co-authors are Paul K. Commean, B.E.E., Mahshid Naghashzadeh, M.S., Sara Hosseinzadeh Kassani, Ph.D., Jake Weeks, B.S., Caitlyn Nguyen, B.S., Abby McBee-Kemper, B.S., Nancy Hantler, B.S., LaKisha Lloyd, M.Sc., Shaney Flores, M.S., Yifei Xu, M.S., Jingxia Liu, Ph.D., Claude B. Sirlin, M.D., Bettina Mittendorfer, Ph.D., Joseph E. Ippolito, M.D., Ph.D., John C. Morris, M.D., and Tammie L.S. Benzinger, M.D., Ph.D. This study was awarded the RSNA Trainee Research Prize.

    Note: Copies of RSNA 2024 news releases and electronic images will be available online at RSNA.org/press24.

    RSNA is an association of radiologists, radiation oncologists, medical physicists and related scientists promoting excellence in patient care and health care delivery through education, research and technologic innovation. The Society is based in Oak Brook, Illinois. (RSNA.org)

    Editor's note: The data in these releases may differ from those in the published abstract and those actually presented at the meeting, as researchers continue to update their data right up until the meeting. To ensure you are using the most up-to-date information, please call the RSNA Newsroom at 1-312-791-6610.

    For patient-friendly information on PET and MRI, visit RadiologyInfo.org.

    Video (MP4):

    Video 1. Mahsa Dolatshahi, M.D., M.P.H., and Cyrus A. Raji, M.D., Ph.D., discuss their research on visceral fat’s link to Alzheimer’s disease
    Download
    Video 2. Dr. Cyrus Raji reviewing brain MR images.
    Download
    Video 3. Brain MRI.
    Download
    Video 4. Brain MRI.
    Download

    Images (JPG, TIF):

    Figure 1. Straight paths show the 1:1 association of variables using age- and sex-adjusted regression models. The curve paths show the results of mediation analysis, where insignificant effects are shown as dashed curved paths, but significant effects are shown as solid curved path. The mediation analysis between body mass index (BMI), visceral adipose tissue (VAT) and amyloid are shown in black, and the mediation analysis between VAT, insulin resistance and amyloid are shown in orange. ACME = Average causal mediation effect, ADE = Average direct effect, Adj-R2 = adjusted R-squared.
    High-res (TIF) version
    Figure 2. Weight path showing the association between body mass index (BMI), visceral adipose tissue (VAT), insulin resistance and amyloid pathology.
    High-res (TIF) version
    Figure 3. Schematic result shows how BMI is mediated or explained by higher visceral/hidden fat (red lines on abdominal MRI) and not subcutaneous fat (red lines) in terms of higher amyloid signal in the brain (yellow and red colors) on PET. Lower HDL or less good cholesterol makes this issue worse.
    High-res (TIF) version
    Figure 4. Comparison of cerebral blood flow in 65 cognitively normal midlife individuals showed that individuals with obesity and high visceral adipose tissue have reduced blood flow in the temporal and parietal regions of the brain.
    High-res (TIF) version