RSNA Press Release

New MRI Technique Detects MS Brain Changes Earlier

Released: January 4, 2022
RSNA Media Relations
1-630-590-7762
media@rsna.org
Linda Brooks
1-630-590-7738
lbrooks@rsna.org

At A Glance

  • Proton MR spectroscopy can detect subtle brain changes early in the course of multiple sclerosis that are undetectable with conventional MRI.
  • Metabolic alterations in normal-appearing white matter and cortical gray matter were associated with disability.
  • MS affects nearly 3 million people worldwide.
  • OAK BROOK, Ill. (January 4, 2022) — A new neuroimaging technique can detect biochemical changes in the brains of people with multiple sclerosis (MS) early in the course of the disease, paving the way for faster treatment evaluation and other potential benefits, according to a study published in the journal Radiology.

    MS is a disease of the central nervous system that can cause fatigue, pain and impaired coordination. It affects nearly 3 million people worldwide, and incidence is rising. There is no cure, but physical therapy and medications can slow its progression.

    Lesions to the brain's signal-carrying white matter are the most readily detectable manifestation of MS on MRI. The lesions, linked to the loss of the protective coating around white matter fibers called myelin, represent only macroscopic tissue damage. A means to find changes in the brain at an earlier microscopic or biochemical stage would be beneficial.

    Eva Heckova, Ph.D.

    Eva Heckova, Ph.D.

    Wolfgang Bogner, Ph.D.

    Wolfgang Bogner, Ph.D.

    An advanced imaging technique known as proton MR spectroscopy is a promising tool in this effort. MR spectroscopy of the brain can detect several metabolites, or substances produced during metabolism, that have potential relevance for MS.

    Researchers in Austria used the technique to compare biochemical changes in the brains of 65 people with MS with those of 20 healthy controls. They deployed an MRI scanner with a powerful 7-Tesla (T) magnet.

    The results showed reduced levels of an amino acid derivative called N-acetylaspartate (NAA) in patients with MS. Lower levels of NAA have been linked to impaired integrity of neurons in the brain. People with MS also showed elevated levels of myo-inositol (MI), a compound involved in cell signaling. Higher levels are indicative of substantial inflammatory disease activity.

    The metabolic alterations in normal-appearing white matter and cortical gray matter were associated with disability.

    Researchers said the results show a potential role for 7T MR spectroscopic imaging in visualizing MS pathology beyond demyelinating lesions.

    "MRI of neurochemicals enables the detection of changes in the brain of multiple sclerosis patients in regions that appear inconspicuous on conventional MRI," said study senior author Wolfgang Bogner, Ph.D., from the High Field MR Centre at the Medical University of Vienna in Vienna, Austria. "The visualized changes in neurochemistry of normal-appearing brain tissue correlated with the patients' disabilities."

    The changes detected by the new imaging technique have significant clinical applications, according to study lead author Eva Heckova, Ph.D., from the High Field MR Centre at the Medical University of Vienna.

    "Some neurochemical changes, particularly those associated with neuroinflammation, occur early in the course of the disease and may not only be correlated with disability, but also be predictive of further progression such as the formation of multiple sclerosis lesions," she said.

    While more work is needed to confirm the results, the results support 7T MR spectroscopic imaging as a valuable new aid in the care of people with MS.

    "If confirmed in longitudinal clinical studies, this new neuroimaging technique could become a standard imaging tool for initial diagnosis, for disease progression and therapy monitoring of multiple sclerosis patients and, in concert with established MRI, might contribute to neurologists' treatment strategies," Dr. Bogner said.

    The researchers are working to further improve the image quality of the new technique and fully integrate it for use in routine clinical MRI scanners.

    "In parallel, we will continue our ongoing longitudinal clinical study to validate its ability to detect clinically important pathologic changes in the brain of multiple sclerosis patients and to evaluate the efficacy of different treatment regimens earlier than other currently available clinical tools," Dr. Heckova said.

    "Extensive Brain Pathologic Alterations Detected with 7.0-T MR Spectroscopic Imaging Associated with Disability in Multiple Sclerosis." Collaborating with Drs. Bogner and Heckova were Assunta Dal-Bianco, M.D., Bernhard Strasser, Ph.D., Gilbert J. Hangel, Ph.D., Alexandra Lipka, M.Sc., Stanislav Motyka, M.Sc., Lukas Hingerl, Ph.D., Paulus S. Rommer, M.D., Thomas Berger, M.D., M.Sc., Petra Hnilicová, Ph.D., Ema Kantorová, M.D., Ph.D., Fritz Leutmetzer, M.D., Egon Kurča, M.D., Ph.D., Stephan Gruber, Ph.D., and Siegfried Trattnig, M.D.

    Radiology is edited by David A. Bluemke, M.D., Ph.D., University of Wisconsin School of Medicine and Public Health, Madison, Wisconsin, and owned and published by the Radiological Society of North America, Inc. (https://pubs.rsna.org/journal/radiology)

    RSNA is an association of radiologists, radiation oncologists, medical physicists and related scientists promoting excellence in patient care and health care delivery through education, research and technologic innovation. The Society is based in Oak Brook, Illinois. (RSNA.org)

    For patient-friendly information on MRI, visit RadiologyInfo.org.

    Images (JPG, TIF):

    Figure 1. Flowchart of study participants with multiple sclerosis (MS). EDSS = Expanded Disability Status Scale.
    High-res (TIF) version
    Figure 2. (A, B) Sample spectra and abnormal metabolic images of myo-inositol (mI), N-acetylaspartate (NAA), and the ratio of mI to NAA (mI/NAA) together with MRI scans in two participants with multiple sclerosis. Red arrow in A indicates region in normal-appearing white matter with higher signal intensity of mI only. Yellow arrow in B indicates region with higher signal intensity of mI and reduced signal intensity of NAA, where no changes or only diffuse changes are visible at T1-weighted MRI (T1w)/ fluid-attenuated inversion-recovery (FLAIR) imaging, and green arrow indicates white matter lesions, where elevated mI signal intensity extends FLAIR-visible pathologic findings. i.u. = institutional unit, ppm = parts per million, tCho = total choline, tCr = total creatine.
    High-res (TIF) version
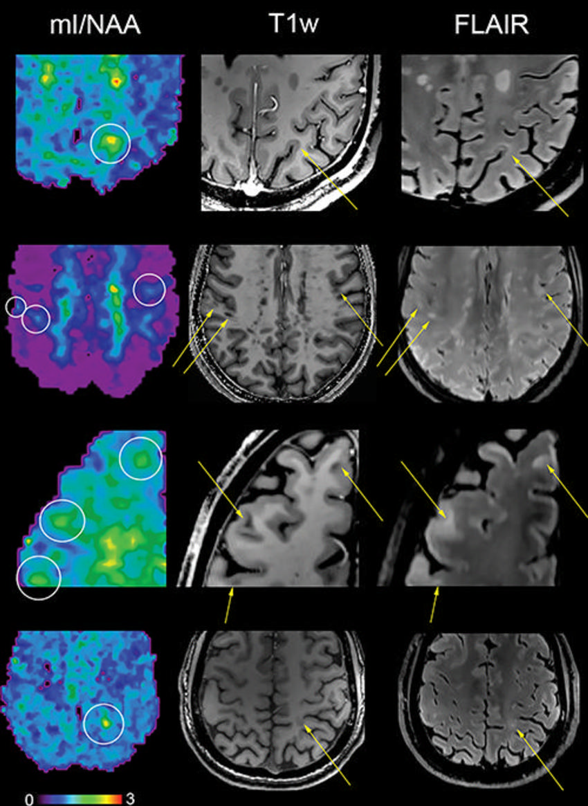
    Figure 3. Metabolic maps showing the ratio of myo-inositol to N-acetylaspartate (mI/NAA) clearly depict small subcortical or juxtacortical lesions (circles) that appear inconspicuous at T1-weighted MRI (T1w)/fluid-attenuated inversion-recovery (FLAIR) imaging (indicated with arrows in three participants with multiple sclerosis).
    High-res (TIF) version
    Figure 4. Individual-value plots show mean metabolic ratios in (A) the centrum semiovale of normal-appearing white matter and (B) cingulate cortex of cortical gray matter of healthy controls and participants with multiple sclerosis, categorized according to disability level (ie, Expanded Disability Status Scale [EDSS] score). Pairwise comparisons were performed using an analysis of covariance correcting for age, sex, and disease duration as a covariate, followed by Šidák post hoc adjustment for multiple comparisons, and were considered statistically significant at the level of P < .05. The horizontal bars indicate medians. mI = myo-inositol, NAA = N-acetylaspartate, tCho = total choline, tCr = total creatine.
    High-res (TIF) version
    Figure 5. Individual-value plots show metabolic ratios in the white matter lesions (WML) of participants with multiple sclerosis (MS), categorized according to disability level (ie, Expanded Disability Status Scale [EDSS] score). Horizontal bars indicate medians, and rectangles indicate means ± standard deviations of the normal-appearing white matter (NAWM) of the corresponding MS subgroup or healthy controls (gray), respectively. The pairwise comparisons between WML of MS subgroups were performed using an analysis of covariance correcting for age, sex, and disease duration as a covariate, followed by Šidák post hoc adjustment for multiple comparisons. The comparisons between NAWM and WML within MS subgroups were assessed by using Mann-Whitney U tests; significant differences are shown in color. mI = myoinositol, NAA = N-acetylaspartate, tCho = total choline, tCr = total creatine.
    High-res (TIF) version
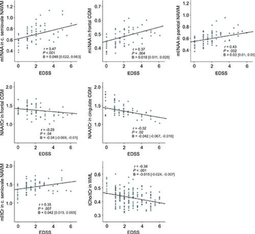
    Figure 6. Scatterplots show correlations between mean metabolic ratios and Expanded Disability Status Scale (EDSS) score in participants with multiple sclerosis. Higher ratio of myo-inositol (mI) to N-acetylaspartate (NAA) in the normal-appearing white matter (NAWM) of the centrum semiovale, frontal cortical gray matter (CGM), and parietal NAWM; lower NAA to total creatine (tCr) in the frontal CGM and cingulate cortex; higher mI/tCr in the centrum semiovale; and lower total choline (tCho) to tCr in white matter lesions (WML) were associated with disability level (ie, EDSS score). The correlations are visualized with linear regression lines and Pearson partial correlation coefficient (r), correcting for age, sex, and disease duration as a covariate. B is the unstandardized multivariable regression coefficient, reported with 95% CIs in parentheses.
    High-res (TIF) version